Pipeline scanning: Novel technology for detection of voids and internal defects in non-conductive buried pipes
May 18, 2007
Non-conductive buried pipe systems deteriorate over time under the action of various applied and environmental loads, chemical and microbiological induced corrosions, and differential settlements. A key for effective infrastructure management practices is the availability of reliable and timely inspection data that serve as the basis for the selection of proper rehabilitation/replacement methods. CCTV inspection is limited to detection of visible defects on the inner wall of the pipe. Defects hidden beneath encrustation, cement mortar lining or a thermoplastic liner, as well as voids immediately outside of the pipe, are currently difficult if not impossible to detect. It is proposed to develop a novel inspection technology, employing ultra-wideband (UWB) pulsed radar system, for detecting “below surface” defects, corrosion, and out-of-pipe voids in non-metallic buried pipes. This paper presents the theoretical foundation for the proposed method, followed by the results of a detailed numerical simulation. The numerical simulation employed custom-developed finite difference time domain (FDTD) code using a cylindrical coordinate system. Results from simulating the scanning of selected soil-pipe interface scenarios are presented. Experimental validation efforts of the proposed pipe scanning approach are also described.
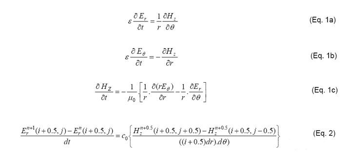
The finite difference time domain (FDTD) method is widely used to simulate the transient electromagnetic phenomena in many areas of engineering including the study of antenna radiation patterns in communications, tumor detection in biomedical engineering and detection of buried objects in geotechnical engineering. The relative simplicity in implementing variety of material types, such as soils and biological materials (e.g., tissues) over a wide frequency bandwidth coupled with the ability to model structures with arbitrary geometry have gained the FDTD method increasing popularity.
A schematic diagram for the simulation model in shown in Figure 3. The simulation domain consist of a radial cross-section with a pipe layer (vitrified clay) surrounded by a layer of soil (sandy loam with approximately 10 % moisture content). The outer diametrical boundary is terminated by a 20 cell-thick PML layer. The antenna is represented by two perfect electric conductors (PEC), each 50 cells in length, separated by 60 degrees. The same antenna functions both, as transmitter and receiver, and hence termed ‘trans-receiver’. A circular source between the two PEC boundaries is excited with a differentiated Gaussian pulse of 80 picoseconds (ps) wide. The inner and outer radii of the pipe are 0.48 m and 0.56 m, respectively. The surrounding soil layer is about 0.1 m thick. Strictly speaking, electrical properties (e.g., dielectric permittivity) of geotechnical materials are frequency dependant (Francisca et. al, 2003). However, for simplicity the dielectric permittivity of the verified clay and soil were considered to be constants in this work and their values were set to be 3 and 10, respectively (Hippel et. al,1954).
Three different cases are studied during the numerical experiment. The first case represents an ideal pipe-soil section, while the remaining two cases represent non-ideal pipe-soil sections (i.e., presence of voids). In Case II, void approximately 4 cm thick is present within the soil surrounding the outside wall of the pipe, but the pipe wall was intact. In Case III, the pipe has wall thickness loss as well as a void running across both the soil and the pipe. Figure 4 shows snapshots of the pulse traveling inside an ideal pipe-soil cross-section. In Figure 4(a) the pulse is within the antenna, while in Figure 4(b) the pulse has traveled outside the antenna. In Figure 4(c) shows two individual reflected signals, one from the air-pipe inner wall interface and other from the pipe outer wall-soil interface.
- The numerical simulation presented in this paper demonstrated the advantages of using a directional antenna inside the pipeline in comparison with more conventional GPR systems. The increased directivity of the antenna and the use of ultra-short pulses enable a more detailed investigation (i.e., higher resolution) of the pipe wall while maintaining adequate penetration depths.
- The pipe wall along with the soil acts as a dielectric concave lens system to help focusing the reflected signal back into the antenna. Consequently, the signal to noise ratio is maximized, thus increases the reliability of the data collected.
- Since the same antenna functions both as a transmitter and receiver, the placement of antenna inside the pipe is straightforward. Rotation of antenna in the circumference direction coupled with longitudinal advancement along the pipe can be processed to produce a three dimensional contour map of the pipeline. These features are more difficult to incorporate with traditional GPR units, where the transmitter and receiver shape and size affect the operational frequency, so antenna configuration is not easily altered to suit survey configurations.
- The thickness of the pipe wall and other distinct layers (i.e., thermoplastic liner, cement mortar lining) can be measured with relatively high precision in a continuous manner. Forward processing algorithms are available to back calculate the dielectric constant of the various materials intercepted by the pulse, eliminating the need for special technical training and/or experience for interpreting the collected data.
- The transmitted signal has a broad bandwidth and thus the analysis could be carried within wide frequency range in a single run.
The authors are currently undertaking an experimental program to validate the results of the numerical model presented herein. An experimental setup placed at the TTC/CAPS nano-pulse laboratory is shown in Figure 6. Following the completion of the model validation, a prototype system will be constructed and tested in the TTC full-scale soil-structure interaction chamber. Results of these tests are expected to be available in the summer of 2007.
The UWB technology is introduced and the theoretical aspects involved in simulation of an UWB antenna, including the performance of a perfectly matched absorbing boundary condition, discussed. The results of a numerical simulation study conducted on a vitrified clay pipe-soil interface for condition assessment purposes are presented. It was demonstrated the UWB technology is capable of identifying voids in the pipe cross section and in the soil envelope surrounding it. In addition, the technology is capable of precise measurements of the pipe wall thickness in an automatic and continuous manner. The advantages of using UWB technology for buried non-ferrous pipes compared with existing methods (i.e., CCTV and GPR) are discussed. Other potential applications of UWB technology are also listed.
Andrews, J R, 2003, UWB Signals, Sources, Antennas and Propagation, Picosecond Pulse Labs Appl.Note, AN-14a, pp.3.
Francisca, F M & Rinaldi, V A, 2003, Complex Dielectric Permittivity of Soil–Organic Mixtures (20 MHz– 1.3 GHz), J. Envir. Engrg., Volume 129, Issue 4, pp. 347-357.
Hippel V & Arthur R, 1954, Dielectric Materials and Applications, M.I.T. Press, Cambridge, MA.
Loulizi, A., Al-Qadi, I.I. and Lahouar, S. 2003. Optimization of Ground-Penetrating Radar Data to Predict Layer Thicknessess in Flexible Pavements. ASCE, Journal of Transportation Engineering, Vol 129(1), pp. 93-99.
Robert W. Brocato, R W, 2004, FDTD Simulation Tools for UWB Antenna Analysis, Sandia Report, SAND2004-6577, Sandia National Laboratories.
Taflove, A & Hagness, S C, 2000, Computational Electrodynamics: The Finite-Difference Time- Domain Method 2nd edn, Artech House, Narwood. Taylor, J D, 1995, Introduction to Ultra-Wideband Radar System, RC Press LLC,Boca Raton.
Yee, K S, 1966, Numerical solution of initial boundary value problems involving Maxwell's equations in isotropic media,” IEEE Trans. Antennas Propagat., vol. AP-17, pp. 585-589.
More News and Articles
Aug 07, 2025
News
Kanalgipfel 2025: Netzweite operative Bedarfsplanung mittels individuellem Sanierungskosten- und Entscheidungsmodell
Die Entwässerungssysteme unserer Städte sind ein wesentlicher Bestandteil des kommunalen Anlagevermögens. Die große Zukunftsaufgabe, …
May 26, 2025
News
Kanalgipfel 2025: Smart Processing – mit KI-Technologien von der Kanalinspektion bis zur Sanierungsstrategie
Die Entwässerungssysteme unserer Städte sind ein wesentlicher Bestandteil des kommunalen Anlagevermögens. Die große Zukunftsaufgabe, …
May 12, 2025
News
Kanalgipfel 2025: Stand der Kanalsanierung in Deutschland – Eine kritische Betrachtung
Die Entwässerungssysteme unserer Städte sind ein wesentlicher Bestandteil des kommunalen Anlagevermögens. Die große Zukunftsaufgabe, vor der viele Kommunen …
Aug 28, 2024
News
ITpipes Secures $20M to Transform Water Infrastructure Management
ITpipes announced it has secured $20 million in equity financing from Trilogy Search Partners and Miramar Equity Partners.
Known for its trusted and user-friendly platform, ITpipes …
Aug 26, 2024
News
Professor Dr.-Ing. Dietrich Stein
With deep sadness we announce the loss of our founder and partner Prof Dr Dietrich Stein at the age of 85.
Engineers around the globe are thankful for his dedication to the inventions in the fields of sewers, …
Aug 26, 2024
News
PPI Releases New Installation Guide for PE4710 Pipe
PPI’s MAB-11-2024 Covers HDPE Water Pipelines Up to 60-in. Diameter and 10,000-ft Long Pulls
Developed by the Municipal Advisory Board (MAB) – and published with the help of the members of the …
Aug 23, 2024
News
Faster wide-scale leak detection now within reach
Mass deployment of connected leak loggers is being made possible by the latest technology, writes Tony Gwynne, global leakage solutions director, Ovarro
Water companies in England and Wales are …
Aug 21, 2024
News
Kraken awakens customer service potential in water
The innovative customer service platform Kraken has made a successful transfer from energy to water. Ahead of their presentation at UKWIR’s annual conference, Portsmouth Water chief executive …
Aug 19, 2024
News
Predicting the toxicity of chemicals with AI
Researchers at Eawag and the Swiss Data Science Center have trained AI algorithms with a comprehensive ecotoxicological dataset. Now their machine learning models can predict how toxic chemicals are …
Aug 16, 2024
News
Goodbye water loss: Trenchless pipe renewal in Brazil
Pipe renewal in Brazil
How do you stop water loss through leaks in old pipe systems without major environmental impacts and restrictions? The answer: with trenchless technology, or more precisely …
Aug 14, 2024
Article
Impact of high-temperature heat storage on groundwater
In a recently launched project, the aquatic research institute Eawag is investigating how the use of borehole thermal energy storage (BTES) affects the surrounding soil, the groundwater …
Aug 12, 2024
News
Watercare completes East Coast Bays sewer link
Watercare has successfully finished the final connection on the East Coast Bays link sewer at Windsor Park in New Zealand.
Much of the East Coast Bays sewer link was installed using horizontal directional …
Contact
Erez Allouche (Trenchless Technology Center)
LA 71272 Ruston, Louisiana, USA
Phone:
+1 318 257-4072
Fax:
+1 318 257-2777
