App helps with difficult decisions
May 11, 2022
What is the best way to replace an old wastewater treatment plant? Which early warning system is most successful in protecting against flooding? Thanks to a method developed by Eawag, experts can analyse complex decision-making problems in a simple way.
“ValueDecisions” is the name of the new tool developed by Judit Lienert and her research group, which deals with decision analysis at the aquatic research institute Eawag. The web app relieves users of the complicated programming work that was previously required for professional decision-making. “We use a method called ‘multi-criteria decision analysis’,” explains Lienert: “In principle, this is a cost-benefit analysis; however, it is not only about the lowest possible costs, but also a wide range of other objectives, and the decisions involve many stakeholders with conflicting interests, so a good choice cannot be made with common sense alone.”
In technical jargon, the method is called MCDA, short for “Multi-Criteria Decision Analysis”. The ValueDecisions app calculates and visualises the results of the MCDA in clear graphical representations and tables. “You can see at a glance which options are best for the stakeholders and where a compromise is possible,” says the environmental social scientist and biologist. While a script with complex programming runs in the background, the interface is very user-friendly. All you have to do is upload two Excel spreadsheets.
“However, you should have an idea of problem structuring and MCDA to collect the necessary data for these two tables,” explains the researcher. This is why ValueDecisions is aimed primarily at professionals, for example, in engineering offices, at municipalities or in research, and not the general public. “But, of course, you can also feed the app with personal decision-making problems,” says Lienert, “for instance, if you want to find the optimal destination for a family holiday.” This allows you to explore which of the many vacation possibilities best suits the wishes of each individual family member, and which is the best compromise
Wastewater treatment in Paris
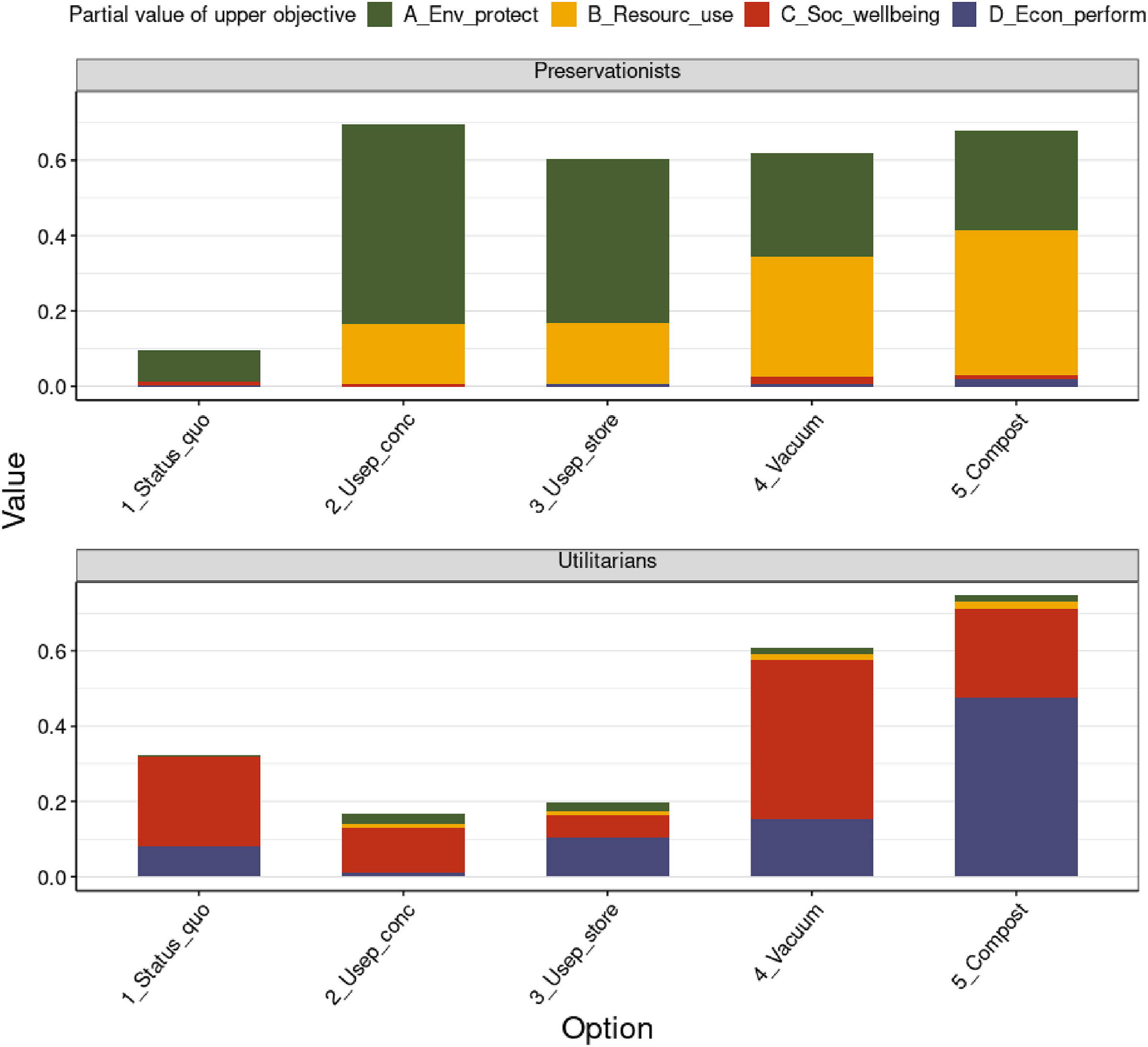
ValueDecisions has already proven itself several times in research practice. For example, Lienert’s group investigated how wastewater in the Paris region could best be treated in the future. The existing, large wastewater treatment plant is reaching its capacity limits because the population is constantly growing and climate change will lead to reduced dilution of the treated wastewater in receiving rivers. “We were asked whether alternative wastewater treatment systems could be considered,” says Lienert. In a workshop with local experts, both environmental as well as socio-economic objectives were established and subsequently five options were selected, including decentralised options with urine and faeces separation and dry toilets. This selection formed the basis for a survey of 655 people from the region who were able to indicate their wishes and preferences.
Then the ValueDecisions app came into play. It automatically integrates facts and preferences into a mathematical model and shows how the different options perform. Uncertainties can also be quantified and the robustness of the results can be investigated with various interactive sensitivity analyses. The results of this analysis have now been published. “Interestingly, the new options perform better than the status quo,” says Lienert.
Graph by ValueDecisions on five different options for wastewater disposal in Paris (x-axis). How well each sub-objective is achieved is indicated with coloured blocks (A_ Environmental protection, B_ Resource use, C_ Social well-being, D_ Economic performance). Depending on the environmental attitude (preservationists or utilitarians), the options achieve the sub[1]objectives and the overall objective to different degrees (values from 0 - 1 on the y-axis). However, the status quo, the conventional wastewater treatment plant, always performs significantly worse than a decentralised vacuum system with urine source separation and dry toilets with underground compost chambers on site.
A study in rural areas of Canton Solothurn came to a similar conclusion. In several workshops, the Eawag researchers discussed the advantages and disadvantages of decentralised wastewater infrastructures compared to a conventional wastewater treatment plant with the local population and carried out an MCDA using the new app. Here too, the dry toilets performed very well in one case, as did the other decentralised options such as small wastewater treatment plants. “And the workshop participants in one municipality were very open to the decentralised solutions,” says Lienert.
Flood warning in West Africa
The app also served well in creating a flood forecasting and early warning system for entire West Africa. Eawag participated in the EU project called FANFAR. While other partners took care of the technical issues, the Swiss researchers elicited the specific needs and preferences of African hydrology and disaster management professionals in workshops. An MCDA using the app yielded interesting results. For example, some experts initially demanded that the forecasts be translated into all West African languages, but then decided against this timeconsuming procedure so as not to jeopardise the main objective: generating the warnings as quickly and accurately as possible.
“We created our app for complex decisions where there are many stakeholders and uncertainties,” says Lienert, who hopes that the practical tool will soon be used by as many experts as possible. If you would like to use ValueDecisions, you can find a user guide and an example on the corresponding website, which explains the procedure step by step.
More News and Articles
Aug 07, 2025
News
Kanalgipfel 2025: Netzweite operative Bedarfsplanung mittels individuellem Sanierungskosten- und Entscheidungsmodell
Die Entwässerungssysteme unserer Städte sind ein wesentlicher Bestandteil des kommunalen Anlagevermögens. Die große Zukunftsaufgabe, …
May 26, 2025
News
Kanalgipfel 2025: Smart Processing – mit KI-Technologien von der Kanalinspektion bis zur Sanierungsstrategie
Die Entwässerungssysteme unserer Städte sind ein wesentlicher Bestandteil des kommunalen Anlagevermögens. Die große Zukunftsaufgabe, …
May 12, 2025
News
Kanalgipfel 2025: Stand der Kanalsanierung in Deutschland – Eine kritische Betrachtung
Die Entwässerungssysteme unserer Städte sind ein wesentlicher Bestandteil des kommunalen Anlagevermögens. Die große Zukunftsaufgabe, vor der viele Kommunen …
Aug 28, 2024
News
ITpipes Secures $20M to Transform Water Infrastructure Management
ITpipes announced it has secured $20 million in equity financing from Trilogy Search Partners and Miramar Equity Partners.
Known for its trusted and user-friendly platform, ITpipes …
Aug 26, 2024
News
Professor Dr.-Ing. Dietrich Stein
With deep sadness we announce the loss of our founder and partner Prof Dr Dietrich Stein at the age of 85.
Engineers around the globe are thankful for his dedication to the inventions in the fields of sewers, …
Aug 26, 2024
News
PPI Releases New Installation Guide for PE4710 Pipe
PPI’s MAB-11-2024 Covers HDPE Water Pipelines Up to 60-in. Diameter and 10,000-ft Long Pulls
Developed by the Municipal Advisory Board (MAB) – and published with the help of the members of the …
Aug 23, 2024
News
Faster wide-scale leak detection now within reach
Mass deployment of connected leak loggers is being made possible by the latest technology, writes Tony Gwynne, global leakage solutions director, Ovarro
Water companies in England and Wales are …
Aug 21, 2024
News
Kraken awakens customer service potential in water
The innovative customer service platform Kraken has made a successful transfer from energy to water. Ahead of their presentation at UKWIR’s annual conference, Portsmouth Water chief executive …
Aug 19, 2024
News
Predicting the toxicity of chemicals with AI
Researchers at Eawag and the Swiss Data Science Center have trained AI algorithms with a comprehensive ecotoxicological dataset. Now their machine learning models can predict how toxic chemicals are …
Aug 16, 2024
News
Goodbye water loss: Trenchless pipe renewal in Brazil
Pipe renewal in Brazil
How do you stop water loss through leaks in old pipe systems without major environmental impacts and restrictions? The answer: with trenchless technology, or more precisely …
Aug 14, 2024
Article
Impact of high-temperature heat storage on groundwater
In a recently launched project, the aquatic research institute Eawag is investigating how the use of borehole thermal energy storage (BTES) affects the surrounding soil, the groundwater …
Aug 12, 2024
News
Watercare completes East Coast Bays sewer link
Watercare has successfully finished the final connection on the East Coast Bays link sewer at Windsor Park in New Zealand.
Much of the East Coast Bays sewer link was installed using horizontal directional …
Contact
eawag aquatic research
Judit Group Lienert
Leader, Cluster: DA (Decision Analysis)
Überlandstrasse 133
8600 Dübendorf
Switzerland
Phone:
+41 58 765 55 11
Fax:
+41 58 765 50 28
