Fundamentals
Effects of the pressurized water jet (3)
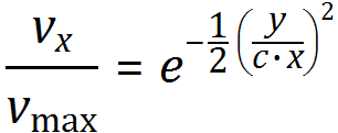
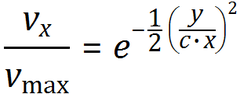
For the pressurized water jet, the distribution of its velocity νx in the distance x from the outlet section and at a distance y from the jet axis (y = 0) can be calculated using the Gauss function [Kraat1989]:
Index:
νx = any desired velocity in the flow profile under consideration
νmax = max. velocity in the jet axis
y = vertical distance from the jet axis
x = horizontal distance from the jet axis
c = constant to be determined in tests and dependent on the inner diffusion angle αi dependent
νmax = max. velocity in the jet axis
y = vertical distance from the jet axis
x = horizontal distance from the jet axis
c = constant to be determined in tests and dependent on the inner diffusion angle αi dependent
